SOLUTION: Perform the indicated operation. 5x/x-1 MINUS 5/x-1 2x squared/x-4 MINUS 32/x-4

Algebra ->  Polynomials-and-rational-expressions -> SOLUTION: Perform the indicated operation. 5x/x-1 MINUS 5/x-1 2x squared/x-4 MINUS 32/x-4       Log On


   



Question 117327: Perform the indicated operation.
5x/x-1 MINUS 5/x-1

2x squared/x-4 MINUS 32/x-4

Answer by MathLover1(20850) About Me  (Show Source):
You can put this solution on YOUR website!
5x%2F%28x-1%29+-+5%2F%28x-1+%29…..common denominator is x-1

=%285x-5%29%2F%28x-1+%29…..factor out common 5 in nominator

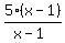
=5%28x-1%29%2F%28x-1+%29…..simplify

=5...........your answer

2.

2x%5E2%2F%28x-4%29+-+32%2F%28x-4%29………. common denominator is x-4

=%282x%5E2-32%29%2F%28x-4%29………. factor out common 2 in nominator

=2%28x%5E2-16%29%2F%28x-4%29………. write 16 as a 4%5E2

=2%28x%5E2-4%5E2%29%2F%28x-4%29………. note the difference of squares and factor it out

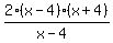
=2%28x-4%29%28x%2B4%29%2F%28x-4%29………. simplify

=%282%28cross%28x-4%29%29%28x%2B4%29%29%2F%28cross%28x-4%29%29……….

=2%28x+%2B+4%29……….your answer