SOLUTION: Write the fractions in simplist form. 28x to the 5th power y to the 3rd power OVER -21x to the 3rd power y to the 4th power. 7x-21 OVER x squared + x-12

Algebra ->  Polynomials-and-rational-expressions -> SOLUTION: Write the fractions in simplist form. 28x to the 5th power y to the 3rd power OVER -21x to the 3rd power y to the 4th power. 7x-21 OVER x squared + x-12       Log On


   



Question 117288: Write the fractions in simplist form.
28x to the 5th power y to the 3rd power OVER -21x to the 3rd power y to the 4th power.


7x-21 OVER x squared + x-12

Answer by MathLover1(20850) About Me  (Show Source):
You can put this solution on YOUR website!
1.
%2828%28x+%5E+5%29+%28y+%5E+3%29%29+%2F%28-21x+%5E+3+%28y+%5E+4%29%29….divide 28 and -21 by 7
%284x+%5E+5+%28y+%5E+3%29%29+%2F%28-3x+%5E+3+%28y+%5E+4%29%29
%284%2F-3%29x+%5E+%285-3%29%2A+y+%5E+%283-+4%29
-%284%2F3%29%2Ax+%5E+2+%2Ay+%5E+-1
-%284%2F3%29%28x+%5E+2+%2Fy%29+
2.
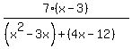
%287x-21%29+%2F%28+x+%5E2+%2B+x-12%29……..factor out common 7 in nominator, and replace x with -3x%2B4x in denominator
7%28x-3%29+%2F%28+x+%5E2+-3x%2B+4x-12%29…. in denominator group first two terms and second two terms together
7%28x-3%29+%2F%28+%28x+%5E2+-3x%29%2B+%284x-12%29%29….factor out common x from first two terms, and 4 from second two terms
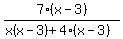
7%28x-3%29+%2F%28+x%28x++-3%29%2B+4%28x-3%29%29….combine like terms
7%28x-3%29+%2F%28+x%2B+4%29%28x-3%29……..simplify
7+%2F%28+x%2B+4%29……..