SOLUTION: Perform the indicated operation. 5x / x - 1 MINUS 5 / x - 1 2x squared / x-4 MINUS 32 / x-4

Algebra ->  Polynomials-and-rational-expressions -> SOLUTION: Perform the indicated operation. 5x / x - 1 MINUS 5 / x - 1 2x squared / x-4 MINUS 32 / x-4      Log On


   



Question 117223: Perform the indicated operation.
5x / x - 1 MINUS 5 / x - 1

2x squared / x-4 MINUS 32 / x-4

Answer by MathLover1(20850) About Me  (Show Source):
You can put this solution on YOUR website!
1.
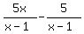
5x+%2F+%28x+-+1%29++-++5+%2F+%28x+-+1%29..........common denominator: x-1

=%285x-5%29+%2F+%28x+-+1%29++........factor out common 5

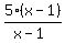
=5%28x-1%29+%2F+%28x+-+1%29++.........simplify

=5cross%28%28x-1%29%29+%2F+cross%28%28x+-+1%29%29++

=5++

2.

2x%5E2+%2F+%28x-4%29++-+32+%2F%28+x-4%29......common denominator: x-4

=%282x%5E2-32%29+%2F+%28x-4%29

=2%28x%5E2-16%29+%2F+%28x-4%29.........factor out common 2

=2%28x%5E2-4%5E2%29+%2F+%28x-4%29......note the difference of the squares, factor it out

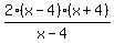
=2%28x-4%29%28x%2B4%29%2F+%28x-4%29......simplify

=2cross%28%28x-4%29%29%28x%2B4%29%2F+cross%28%28x-4%29%29......

=2%28x%2B4%29

=2x%2B8