SOLUTION: Write the fraction in simplist form. 28x to the 5th power y cubed OVER -21x cubed y to the 4th power 7x - 21 OVER x squared + x - 12

Algebra ->  Polynomials-and-rational-expressions -> SOLUTION: Write the fraction in simplist form. 28x to the 5th power y cubed OVER -21x cubed y to the 4th power 7x - 21 OVER x squared + x - 12      Log On


   



Question 117218: Write the fraction in simplist form.
28x to the 5th power y cubed OVER -21x cubed y to the 4th power


7x - 21 OVER x squared + x - 12

Answer by MathLover1(20850) About Me  (Show Source):
You can put this solution on YOUR website!

1.
28x+%5E5+%2Ay+%5E3+%2F+-21x+%5E3+%2Ay+%5E+4

%2828+%2F+-21%29+x+%5E%285-3%29y+%5E%283-+4%29
%2828+%2F+-21%29+x+%5E2%2Ay+%5E%28-1%29

28+x+%5E2+%2F+-21y+

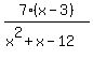
2.
%287x+-+21+%29%2F%28+x+%5E2+%2B+x+-+12%29
7%28x-+3%29%2F%28+x+%5E2+%2B+x+-+12%29..........factor x+%5E2+%2B+x+-+12: replace x with -3x%2B4x, then group the first two terms together and the last two terms together

7%28x-+3%29%2F%28+x%5E2+-3x+%2B+4x+-+12%29..........

7%28x-+3%29%2F%28+%28x%5E2+-3x%29+%2B+%284x+-+12%29%29..........

7%28x-+3%29%2F%28+x%28x+-3x%29+%2B+4%28x+-+3%29%29..........

7%28cross%28x-+3%29%29%2F%28cross+%28x+-+3%29%29%28x+%2B+4%29%29..........

7%2F%28x+%2B+4%29..........