SOLUTION: I can not figure out how to do these. Could you please help me? Thank you in advance! Solve for x. x over 6 - x over 8 = 1 x over x - 2 MINUS x + 1 over x EQUALS 8 o

Algebra ->  Polynomials-and-rational-expressions -> SOLUTION: I can not figure out how to do these. Could you please help me? Thank you in advance! Solve for x. x over 6 - x over 8 = 1 x over x - 2 MINUS x + 1 over x EQUALS 8 o      Log On


   



Question 117089: I can not figure out how to do these. Could you please help me? Thank you in advance!
Solve for x.
x over 6 - x over 8 = 1

x over x - 2 MINUS x + 1 over x EQUALS 8 over x squared - 2x

Answer by josmiceli(19441) About Me  (Show Source):
You can put this solution on YOUR website!
I'm not exactly sure what the equations are
from your description, but I'll guess.
x+%2F+%28%286+-+x%29+%2F+8%29+=+1
Think of this as:
%281+%2F+%28%286+-+x%29+%2F+8%29%29+%2A+x+=+1
This is like %281+%2F+%28a%2Fb%29%29+%2A+x+=+1
1+%2F+%28a%2Fb%29+=+b+%2F+a so,
1+%2F+%28%286+-+x%29+%2F+8%29+=+8+%2F+%286+-+x%29
Now put it back together
+%288+%2F+%286+-+x%29%29+%2A+x+=+1
Now multiply both sides by 6+-+x
8x+=+6+-+x
9x+=+6
x+=+2%2F3 answer
Now check the answer by plugging it back into the original problem
x+%2F+%28%286+-+x%29+%2F+8%29+=+1
%282%2F3%29+%2F+%28%286+-+%282%2F3%29%29+%2F+8%29+=+1
%282%2F3%29+%2F+%28%28%2818%2F3%29+-+%282%2F3%29%29+%2F+8%29+=+1
%282%2F3%29+%2F+%28%2816+%2F+3%29%2F8%29+=+1
OK, just as before , this is the same as
%281+%2F+%28%2816%2F3%29+%2F+8%29%29+%2A++%282%2F3%29+=+1
%288+%2F+%2816%2F3%29%29+%2A+%282%2F3%29+=+1
multiply both sides by 16%2F3
8+%2A+%282%2F3%29+=+16%2F3
Now multiply both sides by 3
8+%2A+2+=+16
16+=+16
OK
-----------------
My guess for the other equation is
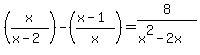
%28x+%2F+%28x+-+2%29%29+-+%28%28x+-+1%29+%2F+x%29+=+8+%2F+%28x%5E2+-+2x%29
The first step is to factor the right side
%28x+%2F+%28x+-+2%29%29+-+%28%28x+-+1%29+%2F+x%29+=+8+%2F+%28x%28x+-+2%29%29
Now multiply both sides by x%28x+-+2%29
x%5E2+-+%28x+-+1%29%28x+-+2%29+=+8
x%5E2+-+x%5E2+%2B+3x+-+2+=+8
3x+-+2+=+8
3x+=+10
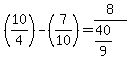
x+=+10%2F3 answer
check answer
%28x+%2F+%28x+-+2%29%29+-+%28%28x+-+1%29+%2F+x%29+=+8+%2F+%28x%5E2+-+2x%29


%2810%2F4%29+-+%287%2F10%29+=+8+%2F+%2840%2F9%29
10%2F4+-+7%2F10+=+72+%2F+40
multiply both sides by 40
100+-+28+=+72
72+=+72
OK