SOLUTION: Complex fractions 1/xy + 2/x over 3/y - 1/xy I'm totally lost on complex fractions. Any assistance would be greatly appreciated.

Algebra ->  Polynomials-and-rational-expressions -> SOLUTION: Complex fractions 1/xy + 2/x over 3/y - 1/xy I'm totally lost on complex fractions. Any assistance would be greatly appreciated.      Log On


   



Question 117020This question is from textbook
: Complex fractions
1/xy + 2/x over 3/y - 1/xy
I'm totally lost on complex fractions. Any assistance would be greatly appreciated.
This question is from textbook

Found 2 solutions by ankor@dixie-net.com, stanbon:
Answer by ankor@dixie-net.com(22740) About Me  (Show Source):
You can put this solution on YOUR website!
1/xy + 2/x over 3/y - 1/xy
:
Assume this is the problem:
%28%281%2F%28xy%29%29%2B%282%2Fx%29%29%2F%28%283%2Fy%29-%281%2F%28xy%29%29%29
:
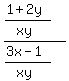
Covert the fractions in the numerator and denominator into single fractions
%28%281%2B2y%29%2F%28xy%29%29%2F%28%283x-1%29%2F%28xy%29%29
:
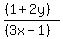
When you divide fractions, you invert the dividing fraction and multiply:
%28%281%2B2y%29%29%2F%28xy%29 * %28xy%29%2F%28%283x-1%29%29 = %28%281%2B2y%29%29%2F%28%283x-1%29%29; note that the xy's cancel
:
Did this help?

Answer by stanbon(75887) About Me  (Show Source):
You can put this solution on YOUR website!
[(1/xy) + (2/x)] / [(3/y) - (1/xy)]
= [(1 + 2y/xy] / [(3x-1)/xy]
= (1+2y)/(3x-1)
===================
Cheers,
Stan H.