SOLUTION: Simplify completely: (x+7)/(x-7)divided by (x^2-49)/(7-x)

Algebra ->  Polynomials-and-rational-expressions -> SOLUTION: Simplify completely: (x+7)/(x-7)divided by (x^2-49)/(7-x)       Log On


   



Question 117015: Simplify completely:
(x+7)/(x-7)divided by (x^2-49)/(7-x)

Answer by jim_thompson5910(35256) About Me  (Show Source):
You can put this solution on YOUR website!
%28%28x%2B7%29%2F%28x-7%29%29%2F%28%28x%5E2-49%29%2F%287-x%29%29 Start with the given expression


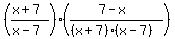
%28%28x%2B7%29%2F%28x-7%29%29%28%287-x%29%2F%28x%5E2-49%29%29 Multiply the first fraction by the reciprocal of the second fraction


%28%28x%2B7%29%2F%28x-7%29%29%28%287-x%29%2F%28%28x%2B7%29%28x-7%29%29%29 Factor x%5E2-49 to get %28x%2B7%29%28x-7%29


%28x%2B7%29%287-x%29%2F%28x-7%29%28x%2B7%29%28x-7%29 Combine the fractions

-%28x%2B7%29%28x-7%29%2F%28x-7%29%28x%2B7%29%28x-7%29 Factor a -1 out of 7-x to get -1%28x-7%29


Cancel like terms


-1%2F%28x-7%29 Simplify


--------------------------------------------------
Answer:

So %28%28x%2B7%29%2F%28x-7%29%29%28%287-x%29%2F%28x%5E2-49%29%29 simplifies to -1%2F%28x-7%29. In other words %28%28x%2B7%29%2F%28x-7%29%29%28%287-x%29%2F%28x%5E2-49%29%29=-1%2F%28x-7%29