SOLUTION: Find a polynomial of degree four with real coefficients that has the roots 1 and 2 and no others.

Algebra ->  Polynomials-and-rational-expressions -> SOLUTION: Find a polynomial of degree four with real coefficients that has the roots 1 and 2 and no others.      Log On


   



Question 1167584: Find a polynomial of degree four with real coefficients that has the roots 1 and 2 and no others.
Answer by greenestamps(13200) About Me  (Show Source):
You can put this solution on YOUR website!


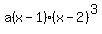
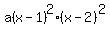
In factored form, the polynomial will consist of an arbitrary leading coefficient a and linear factors of (x-1) and (x-2) only; the total number of linear factors must be 4. So, in addition to the arbitrary leading coefficient, there are three possible factored forms:

a%28x-1%29%5E3%28x-2%29
a%28x-1%29%5E2%28x-2%29%5E2
a%28x-1%29%28x-2%29%5E3

If you need an answer in polynomial form, choose one of the three forms and a constant a and expand....