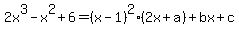
SOLUTION: Please help me to find constants a,b and c given that: 2x^3 - x^2 + 6 = (x-1)^2 (2x + a) + bx + c, for all x

Algebra ->  Polynomials-and-rational-expressions -> SOLUTION: Please help me to find constants a,b and c given that: 2x^3 - x^2 + 6 = (x-1)^2 (2x + a) + bx + c, for all x      Log On


   



Question 1160951: Please help me to find constants a,b and c given that:
2x^3 - x^2 + 6 = (x-1)^2 (2x + a) + bx + c, for all x

Found 2 solutions by Edwin McCravy, solver91311:
Answer by Edwin McCravy(20060) About Me  (Show Source):
You can put this solution on YOUR website!
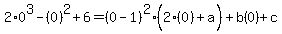
Since it is true for ALL x, let's choose x=0:

2x%5E3+-+x%5E2+%2B+6+=+%28x-1%29%5E2+%282x+%2B+a%29+%2B+bx+%2B+c%29

for x=0

2x%5E3+-+x%5E2+%2B+6+=+%28x-1%29%5E2+%282x+%2B+a%29+%2B+bx+%2B+c%29




0+-+0+%2B+6+=+%28-1%29%5E2+%280+%2B+a%29+%2B+0+%2B+c%29

6+=+1%28a%29%2Bc

6=a%2Bc

6-a=c

So replace c by 6-a

in

2x%5E3+-+x%5E2+%2B+6+=+%28x-1%29%5E2+%282x+%2B+a%29+%2B+bx+%2B+c%29

2x%5E3+-+x%5E2+%2B+6+=+%28x-1%29%5E2+%282x+%2B+a%29+%2B+bx+%2B+6-a%29

Again, since it is true for ALL x, let's choose x=1:



2%2A1+-+1+%2B+6+=+%280%29%5E2%282+%2B+a%29+%2B+b+%2B+6-a%29

2+-+1+%2B+6+=+0%282+%2B+a%29+%2B+b+%2B+6-a%29

7=0%2Bb%2B6-a

7=b%2B6-a

1=b-a

a%2B1=b

So substitute a+1 for b in

2x%5E3+-+x%5E2+%2B+6+=+%28x-1%29%5E2%282x+%2B+a%29+%2B+bx+%2B+6-a%29

2x%5E3+-+x%5E2+%2B+6+=+%28x-1%29%5E2%282x+%2B+a%29+%2B+%28a%2B1%29x+%2B+6-a%29

Again, since it is true for ALL x, let's choose x=-1:



2%2A%28-1%29+-+1+%2B+6+=+%28-2%29%5E2%28-2+%2B+a%29-a-1+%2B+6-a%29

-2+-+1+%2B+6+=+4%28-2+%2B+a%29+-+a+-1+%2B+6-a%29

3=-8%2B4a-a%2B5-a

3=-3%2B2a

6=2a

3=a

Substitute in

a%2B1=b
3%2B1=b
4=b

Substitute in

6-a=c
6-3=c
3=c

So a=3, b=4, c=3.

Edwin


Answer by solver91311(24713) About Me  (Show Source):
You can put this solution on YOUR website!













Equate the coefficients:







Solve the 3X3 system for , , and


John

My calculator said it, I believe it, that settles it