SOLUTION: The function below has at least one rational zero. Use this fact to find all zeros of the function. Write exact values, not decimal approximations. 𝑓(𝑥) = 5𝑥^4 + 32

Algebra ->  Polynomials-and-rational-expressions -> SOLUTION: The function below has at least one rational zero. Use this fact to find all zeros of the function. Write exact values, not decimal approximations. 𝑓(𝑥) = 5𝑥^4 + 32      Log On


   



Question 1156458: The function below has at least one rational zero. Use this fact to find all zeros of the function. Write exact values, not decimal approximations.

𝑓(𝑥) = 5𝑥^4 + 32𝑥^3 − 24𝑥^2 − 20𝑥 + 7

Answer by Edwin McCravy(20065) About Me  (Show Source):
You can put this solution on YOUR website!
     
𝑓(𝑥) = 5𝑥4 + 32𝑥3 − 24𝑥2 − 20𝑥 + 7

Try 𝑥 = 1

1 | 5  32  -24  -20  7
  |     5   37   13 -7 
    5  37   13   -7  0

Hurray, the synthetic division has a 0 on the end of the bottom
row, and that tells us that 𝑥 = 1 is a zero of 𝑓(𝑥) and the other
numbers across the bottom of the synthetic division tells us that 
we have factored 𝑓(𝑥) as

𝑓(𝑥) = (𝑥 - 1)(5𝑥3 + 37𝑥2 - 13𝑥 - 7)

We think that what's in the second parentheses might be factorable,
too, so we try 𝑥 = -7 on it:

-7 | 5  37  13  -7
   |   -35 -14   7
     5   2  -1   0

Hurray, as before, the synthetic division has a 0 on the end of the 
bottom row, and that tells us that 𝑥 = -7 is a zero of both
5𝑥3 + 37𝑥2 - 13𝑥 - 7 as well as 𝑓(𝑥) and the other
numbers across the bottom of the synthetic division tells us that 
we have factored 𝑓(𝑥) further as:

𝑓(𝑥) = (𝑥 - 1)(𝑥 + 7)(5𝑥2 + 2𝑥 - 1)

What's in the last parentheses cannot be factored, so we find the
zeros by setting 𝑓(𝑥) = 0 and use the zero-factor principle:

(𝑥 - 1)(𝑥 + 7)(5𝑥2 + 2𝑥 - 1)

𝑥 - 1 = 0;  𝑥 + 7 = 0,    5𝑥2 + 2𝑥 - 1 = 0
    𝑥 = 1;      𝑥 = -7;  

To find the other two zeros, we must use the quadratic formula:

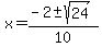
5𝑥2 + 2𝑥 - 1 = 0

x+=+%28-b+%2B-+sqrt%28+b%5E2-4ac+%29%29%2F%282a%29+

x+=+%28-2+%2B-+sqrt%28+2%5E2-4%285%29%28-1%29+%29%29%2F%282%285%29%29+

x+=+%28-2+%2B-+sqrt%28+4%2B20+%29%29%2F%2810%29+

x+=+%28-2+%2B-+sqrt%2824+%29%29%2F10+

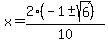
x+=+%28-2+%2B-+sqrt%284%2A6+%29%29%2F10+

x+=+%28-2+%2B-+2sqrt%286%29%29%2F10+

x+=+%282%28-1+%2B-+sqrt%286%29%29%29%2F10+

x+=+%28-1+%2B-+sqrt%286%29%29%2F5+

Edwin