SOLUTION: Perform the indicated operation. 14x - 7 OVER x squared + 3x - 4 TIMES x squared + 6x + 8 OVER 2x squared + 5x - 3 DIVIDED BY x squared + 2x OVER x squared + 2x - 3

Algebra ->  Polynomials-and-rational-expressions -> SOLUTION: Perform the indicated operation. 14x - 7 OVER x squared + 3x - 4 TIMES x squared + 6x + 8 OVER 2x squared + 5x - 3 DIVIDED BY x squared + 2x OVER x squared + 2x - 3      Log On


   



Question 115487: Perform the indicated operation.
14x - 7 OVER x squared + 3x - 4 TIMES x squared + 6x + 8 OVER 2x squared + 5x - 3 DIVIDED BY x squared + 2x OVER x squared + 2x - 3

Answer by ankor@dixie-net.com(22740) About Me  (Show Source):
You can put this solution on YOUR website!
14x - 7 OVER x squared + 3x - 4 TIMES x squared + 6x + 8 OVER 2x squared + 5x - 3 DIVIDED BY x squared + 2x OVER x squared + 2x - 3
:
We can write it:
%28%2814x-7%29%29%2F%28%28x%5E2%2B3x-4%29%29*%28%28x%5E2%2B6x%2B8%29%29%2F%28%282x%5E2%2B5x-3%29%29 / %28%28x%5E2%2B2x%29%29%2F%28%28x%5E2%2B2x-3%29%29
:
Remember when you divide fractions, you in invert the dividing fraction & multiply
%28%2814x-7%29%29%2F%28%28x%5E2%2B3x-4%29%29*%28%28x%5E2%2B6x%2B8%29%29%2F%28%282x%5E2%2B5x-3%29%29* %28%28x%5E2%2B2x-3%29%29%2F%28%28x%5E2%2B2x%29%29
:
All the numerators and denominators will factor:
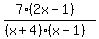
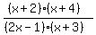
%287%282x-1%29%29%2F%28%28x%2B4%29%28x-1%29%29*%28%28x%2B2%29%28x%2B4%29%29%2F%28%282x-1%29%28x%2B3%29%29* %28%28x%2B3%29%28x-1%29%29%2F%28x%28x%2B2%29%29
Note that almost everything here will cancel leaving you with:
7%2Fx