SOLUTION: Form a polynomial whose zeros and degree are given. Zeros: -4, multiplicity 1; -3, multiplicity 2; degree 3 Type a polynomial with integer coefficients and a leading coefficien

Algebra ->  Polynomials-and-rational-expressions -> SOLUTION: Form a polynomial whose zeros and degree are given. Zeros: -4, multiplicity 1; -3, multiplicity 2; degree 3 Type a polynomial with integer coefficients and a leading coefficien      Log On


   



Question 1146421: Form a polynomial whose zeros and degree are given.
Zeros: -4, multiplicity 1; -3, multiplicity 2; degree 3
Type a polynomial with integer coefficients and a leading coefficient of 1 in the box below.

Found 2 solutions by richwmiller, josgarithmetic:
Answer by richwmiller(17219) About Me  (Show Source):
You can put this solution on YOUR website!
I can't find the box below

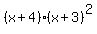
Answer by josgarithmetic(39623) About Me  (Show Source):
You can put this solution on YOUR website!
You can begin with %28x%2B4%29%28x%2B3%29%5E2 and do the multiplying yourself. You will notice the sum of the exponents for the factors is "degree 3". The instruction for "in the box below" is meaningless here.