SOLUTION: Good evening ma'am or sir I don't know how to get the values of x here in this equation (clue: there are 3 answers, 1 fraction and 2 whole numbers), will you please help me. This i
Algebra ->
Polynomials-and-rational-expressions
-> SOLUTION: Good evening ma'am or sir I don't know how to get the values of x here in this equation (clue: there are 3 answers, 1 fraction and 2 whole numbers), will you please help me. This i
Log On
Question 114482: Good evening ma'am or sir I don't know how to get the values of x here in this equation (clue: there are 3 answers, 1 fraction and 2 whole numbers), will you please help me. This is the equation: x^2+2x+1/x^2+3x+2=x^2+5x+6/x^2+4x+3.
Thank you very much ma'am or sir. Answer by MathLover1(20855) (Show Source):
You can put this solution on YOUR website! how to get the values of x here in this equation (clue: there are 3 answers, 1 fraction and 2 whole numbers), will you please help me. This is the equation:
We will try to factor what ever is possible to factor in order to simplify this equation:
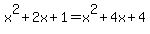
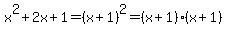
first this quadratic trinomial where we recognize the square of sum
…………………….(1)
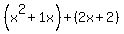
Now factor this one …….we can replace with
…….group first two terms and last two terms together
…….notice that is common for first group and is common for second group; so factor them out
……. Factor out common , combine like terms
……………………………………………….(2)
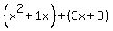
Now factor this one
……….. replace with
……….. group first two terms and last two terms together
……….. factor a out of the first group and factor a out of the second group
……….. combine like terms
……………………………………………..(3)
Now factor this one
………………. replace with ……. group first two terms and last two terms together
……. factor a out of the first group and factor a out of the second group
……. combine like terms ……………………………………………….(4)
Now substitute (1), (2), (3), and (4) in original equation:
….. simplify
….....here we have denominators and ; they cannot be equal to ( to divide by doesn't make sense
so we will find values of for which it will be equal to
they would be equal to if:
if .........................one }
and
if ........................second }
now find third solution:
…..multiply
….....simplify (eliminate on both sides
….....move to the right and to the left
….....
….....divide both sides by ….....
….....