SOLUTION: Form a polynomial f(x) with real coefficients having the given degree and zeors. Degree 5; zeros: 1,-i,9+i Find the remaining zeros of F: Degree 6; Zeros: -6,2+i,7-i,6 Use

Algebra ->  Polynomials-and-rational-expressions -> SOLUTION: Form a polynomial f(x) with real coefficients having the given degree and zeors. Degree 5; zeros: 1,-i,9+i Find the remaining zeros of F: Degree 6; Zeros: -6,2+i,7-i,6 Use       Log On


   



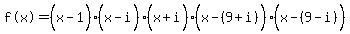
Question 1142425: Form a polynomial f(x) with real coefficients having the given degree and zeors.
Degree 5; zeros: 1,-i,9+i
Find the remaining zeros of F:
Degree 6; Zeros: -6,2+i,7-i,6
Use complex zeros to factor F of the polynomial function f(x)=x^4+10x^2+9
zeros: x=i, -i, 3i, -3i

Answer by Edwin McCravy(20081) About Me  (Show Source):
You can put this solution on YOUR website!
Form a polynomial f(x) with real coefficients having the given degree and zeors.
Degree 5; zeros: 1,-i,9+i

Multiply that all out (big job!). You'll get this:
%22f%28x%29%22=x%5E5+-+19x%5E4+%2B+101x%5E3+-+101x%5E2+%2B+100x+-+82
Edwin