SOLUTION: What is f(x) = x8 - 1 divided by x - 1?

Algebra ->  Polynomials-and-rational-expressions -> SOLUTION: What is f(x) = x8 - 1 divided by x - 1?      Log On


   



Question 1140277: What is f(x) = x8 - 1 divided by x - 1?
Found 2 solutions by MathLover1, josgarithmetic:
Answer by MathLover1(20850) About Me  (Show Source):
You can put this solution on YOUR website!

%28x%5E8+-+1%29+%2F%28x+-+1%29......write %28x%5E8+-+1%29 as %28%28x%5E4%29%5E2+-+1%5E2%29 and factor it
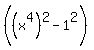
%28%28x%5E4%29%5E2+-+1%5E2%29%2F%28x+-+1%29
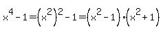
%28%28x%5E4+-+1%29%28x%5E4%2B1%29%29%2F%28x+-+1%29..........then x%5E4+-+1=%28x%5E2%29%5E2+-+1=%28x%5E2-1%29%28x%5E2%2B1%29
%28%28x%5E2-1%29%28x%5E2%2B1%29%28x%5E4%2B1%29%29%2F%28x+-+1%29.....then %28x%5E2-1%29=%28x-1%29%28x%2B1%29
%28%28x-1%29%28x%2B1%29%28x%5E2%2B1%29%28x%5E4%2B1%29%29%2F%28x+-+1%29.........simplify
%28cross%28%28x-1%29%29%28x%2B1%29%28x%5E2%2B1%29%28x%5E4%2B1%29%29%2Fcross%28%28x+-+1%29%29
%28x%2B1%29%28x%5E2%2B1%29%28x%5E4%2B1%29.....expand
%28x%5E3%2Bx%2Bx%5E2%2B1%29%28x%5E4%2B1%29
x%5E7%2Bx%5E3%2Bx%5E6%2Bx%5E5%2Bx%5E2%2Bx%2Bx%5E4%2B1
x%5E7%2Bx%5E6%2Bx%5E5%2Bx%5E4%2Bx%5E3%2Bx%5E2%2Bx%2B1




Answer by josgarithmetic(39625) About Me  (Show Source):
You can put this solution on YOUR website!
%28x%5E8%2B0x%5E7%2B0x%5E6%2B0x%5E5%2B0x%5E4%2B0x%5E3%2B0x%5E2%2B0x-1%29%2F%28x-1%29

.
(Synthetic Division):


1   |   1   0   0   0   0   0   0   0   -1
    |
    |       1   1   1    1  1   1   1   1 
    |______________________________________________
       1    1   1   1   1   1   1   1   0

Quotient is x%5E7%2Bx%5E6%2Bx%5E5%2Bx%5E4%2Bx%5E3%2Bx%5E2%2Bx%2B1.