SOLUTION: The polynomial of degree 4, p(x) has a root of multiplicity 2 at x=4 and roots of multiplicity 1 at x=0 and x=-1. It goes through point (5,9). Find the formula for p(x)

Algebra ->  Polynomials-and-rational-expressions -> SOLUTION: The polynomial of degree 4, p(x) has a root of multiplicity 2 at x=4 and roots of multiplicity 1 at x=0 and x=-1. It goes through point (5,9). Find the formula for p(x)      Log On


   



Question 1140241: The polynomial of degree 4, p(x) has a root of multiplicity 2 at x=4 and roots of multiplicity 1 at x=0 and x=-1. It goes through point (5,9). Find the formula for p(x)
Answer by josgarithmetic(39620) About Me  (Show Source):
You can put this solution on YOUR website!
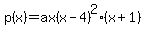
p%28x%29=ax%28x-4%29%5E2%28x%2B1%29

Use the given point to solve for "a".