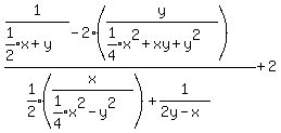
SOLUTION: simplify the expression: (1/(.5x+y) − 2y/(.25x2+xy+y2))÷(.5x/(.25x2−y2) + 1/(2y−x))+2

Algebra ->  Polynomials-and-rational-expressions -> SOLUTION: simplify the expression: (1/(.5x+y) − 2y/(.25x2+xy+y2))÷(.5x/(.25x2−y2) + 1/(2y−x))+2       Log On


   



Question 1132474: simplify the expression:
(1/(.5x+y) − 2y/(.25x2+xy+y2))÷(.5x/(.25x2−y2) + 1/(2y−x))+2

Answer by Edwin McCravy(20066) About Me  (Show Source):
You can put this solution on YOUR website!
Is this what you meant?:



Change all the decimals to common fractions:



Factor out the common fractions:

Factor 
expr%281%2F2%29x%2By%29
expr%281%2F2%29x%2Bexpr%282%2F2%29y%29
expr%281%2F2%29%28x%2B2y%29

Factor 
expr%281%2F4%29x%5E2%2Bxy%2By%5E2%29
expr%281%2F4%29x%5E2%2Bexpr%284%2F4%29xy%2Bexpr%284%2F4%29y%5E2 
expr%281%2F4%29%28x%5E2%2B4xy%2B4y%5E2%29
expr%281%2F4%29%28x%2B2y%29%28x%2B2y%29
expr%281%2F4%29%28x%2B2y%29%5E2
  
Factor 
expr%281%2F4%29x%5E2-y%5E2%29
expr%281%2F4%29x%5E2-expr%284%2F4%29y%5E2 
expr%281%2F4%29%28x%5E2-4y%5E2%29
expr%281%2F4%29%28x-2y%29%28x%2B2y%29

Substitute those:


       
Multiply top and bottom of the upper left fraction in large
parentheses by 2.

Multiply top and bottom of the upper right fraction in large
parentheses by 4.

Multiply top and bottom of the lower left fraction in large
parentheses by 4.


       
Multiply the 2 by the 4 in the top right, and the 1/2 by the 4 in
the bottom left and there are no more common fractions, just
algebraic fractions:



Notice that all the expressions except 2y-x have x appearing first 
and y appearing second.  Lets change the bottom right fraction so that
x appears before y:

%22%22+%2B+1%2F%282y-x%29
%22%22+%2B+1%2F%28-x%2B2y%29
%22%22+%2B+1%2F%28-1x%2B2y%29
%22%22+%2B+1%2F%28-1%28x%2B2y%29%29
%22%22+%2B+1%2F%28-%28x-2y%29%29
%22%22+-+1%2F%28%28x-2y%29%29
%22%22+-+%281%2F%28%28x-2y%29%29%29

So we have:



The LCD of all the 4 algebraic fractions in the compound
fraction is (x-2y)(x+2y)²

We multiply ever term in the top and bottom by (x-2y)(x+2y)²
placing it over 1

%28%28%28x-2y%29%28x%2B2y%29%5E2%29%2F1%29%29%2A%22%22




Then we cancel:



%282%28x-2y%29%28x%2B2y%29-8y%28x-2y%29%29%2F%282x%28x%2B2y%29-%28x%2B2y%29%5E2%29%2B2

Factor 2(x-2y) out of the top and (x+2y) out of the bottom:



%282%28x-2y%29%28x%2B2y-4y%29%29%2F%28%28x%2B2y%29%282x-x-2y%29%29%2B2

%282%28x-2y%29%28x-2y%29%29%2F%28%28x%2B2y%29%28x-2y%29%29%2B2

%282%28x-2y%29cross%28%28x-2y%29%29%29%2F%28%28x%2B2y%29cross%28%28x-2y%29%29%29%2B2

%282%28x-2y%29%29%2F%28%28x%2B2y%29%29%2B2

Now we multiply the +2 by %28%28%28x%2B2y%29%29%2F%28%28x%2B2y%29%29%29

%282%28x-2y%29%29%2F%28%28x%2B2y%29%29%2B2%28%28%28x%2B2y%29%29%2F%28%28x%2B2y%29%29%29

%282%28x-2y%29%29%2F%28%28x%2B2y%29%29%2B%282%28x%2B2y%29%29%2F%28%28x%2B2y%29%29

Write the sum of the numerators over the common denominator:

%282%28x-2y%29%2B2%28x%2B2y%29%29%2F%28%28x%2B2y%29%29

%282x-4y%2B2x%2B4y%29%2F%28x%2B2y%29

4x%2F%28x%2B2y%29

Whew! :)

Edwin