SOLUTION: simplify the expression: 4m/(4m2−1) − (2m+1)/(6m−3) + (2m−1)/(4m+2)

Algebra ->  Polynomials-and-rational-expressions -> SOLUTION: simplify the expression: 4m/(4m2−1) − (2m+1)/(6m−3) + (2m−1)/(4m+2)       Log On


   



Question 1132473: simplify the expression:
4m/(4m2−1) − (2m+1)/(6m−3) + (2m−1)/(4m+2)

Found 2 solutions by Alan3354, greenestamps:
Answer by Alan3354(69443) About Me  (Show Source):
You can put this solution on YOUR website!

====================
What is "4m2?"

Answer by greenestamps(13203) About Me  (Show Source):
You can put this solution on YOUR website!


It is common practice to use the "^" symbol (shift-6) to represent exponentiation. So write "4 m squared" as 4m^2, not just 4m2.

4m%2F%284m%5E2-1%29-%282m%2B1%29%2F%286m-3%29%2B%282m-1%29%2F%284m%2B2%29

Factor each denominator and then determine the least common denominator:



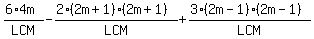
The LCM is 6%282m%2B1%29%282m-1%29



= %2824m+-+%288m%5E2%2B8m%2B2%29+%2B+%2812m%5E2-12m%2B3%29%29%2FLCM

= %284m%5E2%2B4m%2B1%29%2FLCM

= %28%282m%2B1%29%282m%2B1%29%29%2F%286%282m%2B1%29%282m-1%29%29

= %282m%2B1%29%2F%286%282m-1%29%29