SOLUTION: number problem. if one-half of one integer is subtracted from three-fifths of the next consecutive integer, the difference is 3. what are the two integers?

Algebra ->  Polynomials-and-rational-expressions -> SOLUTION: number problem. if one-half of one integer is subtracted from three-fifths of the next consecutive integer, the difference is 3. what are the two integers?      Log On


   



Question 112957: number problem. if one-half of one integer is subtracted from three-fifths of the next consecutive integer, the difference is 3. what are the two integers?
Answer by bucky(2189) About Me  (Show Source):
You can put this solution on YOUR website!
If the first integer is x, then the next consecutive integer is x+1.
.
The problem tells you to find one-half of the first integer and subtract it from three-fifths
of the second integer.
.
Since the first integer is x, one-half of that integer is x%2F2.
.
And since the second integer is x+1, then three fifths of that integer is:
.
%283%2F5%29%2A%28x+%2B+1%29 which is equivalent to %283%2A%28x%2B1%29%29%2F5
.
Subtract the first from the second and you have a difference of:
.
%283%2A%28x%2B1%29%29%2F5+-+x%2F2
.
Finally, the problem tells you that this difference is equal to 3. So you can write this
in equation form as:
.
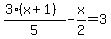
%283%2A%28x%2B1%29%29%2F5+-+x%2F2+=+3
.
You can get rid of the denominator 5 by multiplying all terms on both sides of this equation
by 5 and the result is:
.
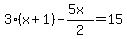
3%2A%28x%2B1%29+-%285x%29%2F2+=+15
.
Next you can get rid of the denominator 2 by multiplying all terms on both sides of this
equation by 2 and the result is:
.
2%2A3%2A%28x%2B1%29+-+5x+=+30
.
Multiply the 2 times 3 and the equation reduces to:
.
6%2A%28x%2B1%29+-+5x+=+30
.
Now do the distributed multiplication on the left side by multiplying 6 times both of the
terms in the parentheses to make the equation become:
.
6x+%2B+6+-+5x+=+30
.
Combine the 6x and -5x and the equation becomes:
.
x+%2B+6+=+30
.
Get rid of the 6 on the left side by subtracting 6 from both sides to reduce the equation to:
.
x+=+24
.
This tells you that one of the integers is 24. Then next consecutive integer must be 25.
So the two numbers you were looking for are 24 and 25.
.
Check. Half of 24 is 12. And three-fifths of 25 is 15. Subtract 12 from 15 and the answer
is 3 ... just as the problem said it should be. Therefore, the answer is correct.
.
Hope this helps you to understand the problem and how you can solve it.