SOLUTION: factorize by completing the square 2x^2 - 6x - 10 x^2 + 6x + 7 2x^2 + 6x + 3

Algebra ->  Polynomials-and-rational-expressions -> SOLUTION: factorize by completing the square 2x^2 - 6x - 10 x^2 + 6x + 7 2x^2 + 6x + 3      Log On


   



Question 1129210: factorize by completing the square
2x^2 - 6x - 10
x^2 + 6x + 7
2x^2 + 6x + 3

Found 2 solutions by josgarithmetic, ikleyn:
Answer by josgarithmetic(39621) About Me  (Show Source):
You can put this solution on YOUR website!
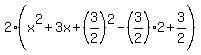
2x^2 + 6x + 3
--
--

2%28x%5E2%2B3x%2B3%2F2%29
2%28x%5E2%2B3x%2B%283%2F2%29%5E2-%283%2F2%292%2B3%2F2%29
2%28%28x%2B3%2F2%29%5E2-9%2F4%2B6%2F4%29
2%28%28x%2B3%2F2%29%5E2-3%2F4%29
2%28x%2B3%2F2%29%5E2-3%2F2------the square completed... changed form but not really a factorization;
one or two more steps if you want to factorize this.

Answer by ikleyn(52817) About Me  (Show Source):
You can put this solution on YOUR website!
.

#2.
x^2 + 6x + 7 = (x^2 + 6x + 9) + 7 - 9 = (x^2 + 6x + 9) - 2 =


= %28x%2B3%29%5E2 - 2 = %28x%2B3%29%5E2 - %28sqrt%282%29%29%5E2 = %28x%2B3-sqrt%282%29%29.%28x%2B3%2Bsqrt%282%29%29.


#3.
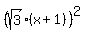
2x^2  + 6x + 3 = (3x^2 + 6x + 3) - x^2 = 3*(x^+ 2x + 1) - x^2 = 


= 3%2A%28x%2B1%29%5E2 - x%5E2 = %28sqrt%283%29%2A%28x%2B1%29%29%5E2 - x%5E2 = 


= %28sqrt%283%29%2A%28x%2B1%29-x%29%2A%28sqrt%283%29%2A%28x%2B1%29%2Bx%29%29 = %28%28sqrt%283%29-1%29%2Ax%2Bsqrt%283%29%29%2A%28%28sqrt%283%29%2B1%29%2Ax%2Bsqrt%283%29%29.

-------------

Do  #1  in the same way as I did  #3.