SOLUTION: Write the polynomial f(x)=x^4+9x^3+29x^2+81x+180 in factored form.
Algebra
->
Polynomials-and-rational-expressions
-> SOLUTION: Write the polynomial f(x)=x^4+9x^3+29x^2+81x+180 in factored form.
Log On
Algebra: Polynomials, rational expressions and equations
Section
Solvers
Solvers
Lessons
Lessons
Answers archive
Answers
Click here to see ALL problems on Polynomials-and-rational-expressions
Question 1127878
:
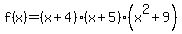
Write the polynomial f(x)=x^4+9x^3+29x^2+81x+180 in factored form.
Answer by
josgarithmetic(39618)
(
Show Source
):
You can
put this solution on YOUR website!
Rational Roots theorem will give several possible roots to check. You could expect that -4 and -5 will be roots. Try checking these using synthetic division and see what you find!
-4, --------------- 1, 5, 9, 45, 0
-5, -------------- 1, 0, 9, 0