SOLUTION: I am having problems understanding simplifying trinomials. The way I understand it I must factor them first, maybe that is where the problem lies. An example is Xsquared + 3X + 2 a

Algebra ->  Polynomials-and-rational-expressions -> SOLUTION: I am having problems understanding simplifying trinomials. The way I understand it I must factor them first, maybe that is where the problem lies. An example is Xsquared + 3X + 2 a      Log On


   



Question 112714: I am having problems understanding simplifying trinomials. The way I understand it I must factor them first, maybe that is where the problem lies. An example is Xsquared + 3X + 2 and Xsquared - 1. Thank you, Don Hora
Answer by Earlsdon(6294) About Me  (Show Source):
You can put this solution on YOUR website!
Simplify the following expressions:
x%5E2%2B3x%2B2 and...
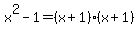
x%5E2-1
If the expressions are factorable, then factoring will simplify them, but be aware that not all expressions such as you have here are factorable.
In this case, however, both expressions are factorable:
x%5E2%2B3x%2B2+=+%28x%2B1%29%28x%2B2%29 and...
x%5E2-1+=+%28x%2B1%29%28x%2B1%29