SOLUTION: Find the polynomial of the specified degree that satisfies the given conditions. Degree 4 zeros -1,0,2,1/2 coefficient of x^3 is 3

Algebra ->  Polynomials-and-rational-expressions -> SOLUTION: Find the polynomial of the specified degree that satisfies the given conditions. Degree 4 zeros -1,0,2,1/2 coefficient of x^3 is 3      Log On


   



Question 1126338: Find the polynomial of the specified degree that satisfies the given conditions. Degree 4 zeros -1,0,2,1/2 coefficient of x^3 is 3
Answer by josgarithmetic(39618) About Me  (Show Source):
You can put this solution on YOUR website!
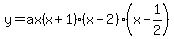
In factored form with unknown constant factor "a"

y=ax%28x%2B1%29%28x-2%29%28x-1%2F2%29
Doing the multiplication steps,
y=ax%5E4-%283%2F2%29ax%5E3-%283%2F2%29ax%5E2%2Bax

If given that coefficient on the x^3 term is 3, then
-3a%2F2=3
and
a=-2

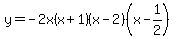
The equation in factored form, y=-2x%28x%2B1%29%28x-2%29%28x-1%2F2%29
In form of decreasing degree on x, y=-2x%5E4%2B3x%5E3%2B3x%5E2-2x



-
!