SOLUTION: What is f(x)=x^3−3x^2−6^x+8 in factored form given that 4 is a zero of the function? f(x)=(x−4)(x+2)(x+1) f(x)=(x−4)(x+2)(x−1) f(x)=(x−4)

Algebra ->  Polynomials-and-rational-expressions -> SOLUTION: What is f(x)=x^3−3x^2−6^x+8 in factored form given that 4 is a zero of the function? f(x)=(x−4)(x+2)(x+1) f(x)=(x−4)(x+2)(x−1) f(x)=(x−4)      Log On


   



Question 1125357: What is f(x)=x^3−3x^2−6^x+8 in factored form given that 4 is a zero of the function?
f(x)=(x−4)(x+2)(x+1)
f(x)=(x−4)(x+2)(x−1)
f(x)=(x−4)(x−2)(x+1)
f(x)=(x−4)(x−2)(x−1)

Found 3 solutions by MathLover1, greenestamps, josgarithmetic:
Answer by MathLover1(20850) About Me  (Show Source):
You can put this solution on YOUR website!

f%28x%29=x%5E3-3x%5E2-6%5Ex%2B8 in factored form given that 4 is a zero of the function:
expand and see:
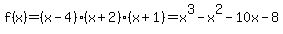
f%28x%29=%28x-4%29%28x%2B2%29%28x%2B1%29=x%5E3+-+x%5E2+-+10+x+-+8
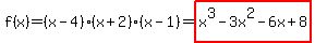
f%28x%29=%28x-4%29%28x%2B2%29%28x-1%29=highlight%28x%5E3+-+3+x%5E2+-+6+x+%2B+8%29-> your answer
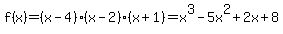
f%28x%29=%28x-4%29%28x-2%29%28x%2B1%29=x%5E3+-+5+x%5E2+%2B+2+x+%2B+8
f%28x%29=%28x-4%29%28x-2%29%28x-1%29=x%5E3+-+7+x%5E2+%2B+14+x+-+8

Answer by greenestamps(13200) About Me  (Show Source):
You can put this solution on YOUR website!


You can certainly expand all the answer choices completely, as the other tutor did, to find which one is equivalent to the given polynomial. But there are much faster ways.

The method that comes immediately to mind for me is the rules for the sum and product of the roots of a polynomial. In the given cubic polynomial,

the sum of the roots is -%28-3%2F1%29+=+3 and the product of the roots is -%288%2F1%29+=+-8.

Then given that 4 is a root, the sum of the other two roots must be -1 and the product of the other two must be -2.

A bit of mental arithmetic shows the other two roots are -2 and 1. So the factored form of the polynomial will be

%28x-4%29%28x%2B2%29%28x-1%29

Answer B

Answer by josgarithmetic(39620) About Me  (Show Source):
You can put this solution on YOUR website!
4    |    1    -3    -6    8
     |
     |         4     4    -8
     |_______________________________
          1    1     -2   0

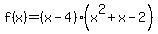
f%28x%29=%28x-4%29%28x%5E2%2Bx-2%29

quadratic%7D%7D%7B%7B%7Bfactorable
%28x-1%29%28x%2B2%29

Alltogether
%28x-4%29%28x-1%29%28x%2B2%29
highlight_green%28choice_B%29