SOLUTION: How do you factor {{{ (7/2)x^(-2/3) (x+1)^2+3x^(-5/3)(x+1)^3 }}} The formula plotting system cut off the fraction on my screen but it’s this if it cut off on you: (7/2)x^(-

Algebra ->  Polynomials-and-rational-expressions -> SOLUTION: How do you factor {{{ (7/2)x^(-2/3) (x+1)^2+3x^(-5/3)(x+1)^3 }}} The formula plotting system cut off the fraction on my screen but it’s this if it cut off on you: (7/2)x^(-      Log On


   



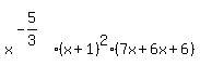
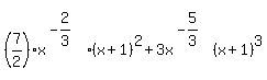
Question 1121559: How do you factor
+%287%2F2%29x%5E%28-2%2F3%29+%28x%2B1%29%5E2%2B3x%5E%28-5%2F3%29%28x%2B1%29%5E3+
The formula plotting system cut off the fraction on my screen but it’s this if it cut off on you:
(7/2)x^(-2/3) (x+1)^2+3x^(-5/3)(x+1)^3

Found 2 solutions by Boreal, MathTherapy:
Answer by Boreal(15235) About Me  (Show Source):
You can put this solution on YOUR website!
you can take out an x^(-5/3)(x+1)^2 and multiply that by [(7/2*x + 3(x+1)}
Writing the first term as x^(-5/3) means multiplying that by x to get x^(-2/3) in the first term.
Alternatively, one may put the x in the denominator with a positive exponent and do the same thing. The quantity in the parentheses may be expanded to 6.5x+3 as well.

Answer by MathTherapy(10557) About Me  (Show Source):
You can put this solution on YOUR website!
How do you factor
+%287%2F2%29x%5E%28-2%2F3%29+%28x%2B1%29%5E2%2B3x%5E%28-5%2F3%29%28x%2B1%29%5E3+
The formula plotting system cut off the fraction on my screen but it’s this if it cut off on you:
(7/2)x^(-2/3) (x+1)^2+3x^(-5/3)(x+1)^3

 -------- Multiplying by 2 to get rid of fraction on coefficient
 ----- Factoring out GCF, matrix%282%2C1%2C+%22+%22%2C+x%5E%28-+5%2F3%29%28x+%2B+1%29%5E2%29