SOLUTION: write a possible rational function with the following characteristics y intercept: -5 no x intercept discontinuous points at (-1,-5) (3, -5) not sure what to do, wondering if

Algebra ->  Polynomials-and-rational-expressions -> SOLUTION: write a possible rational function with the following characteristics y intercept: -5 no x intercept discontinuous points at (-1,-5) (3, -5) not sure what to do, wondering if      Log On


   



Question 1101734: write a possible rational function with the following characteristics
y intercept: -5
no x intercept
discontinuous points at (-1,-5) (3, -5)
not sure what to do, wondering if you could help :)
thank you!!
joanna

Answer by KMST(5328) About Me  (Show Source):
You can put this solution on YOUR website!
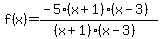
How about f%28x%29=%28-5x%5E2%2B10x%2B15%29%2F%28x%5E2-2x-3%29 ?
Factoring numerator and denominator, it can be written as
f%28x%29=%28-5%28x%2B1%29%28x-3%29%29%2F%28%28x%2B1%29%28x-3%29%29 .
For x=-1 and for x=3 ,
the denominator is zero, and the function does not exist,
but for any other values, it is the same as the function g%28x%29=-5 .
The graph of f%28x%29 is just the like the straight line graph of
y=-5 with two holes where the points (-1,-5) and (3, -5) .