SOLUTION: Use long division to find the quotient​ Q(x) and the remainder​ R(x) when​ P(x) is divided by​ d(x) and express​ P(x) in the form ​d(x) times &#

Algebra ->  Polynomials-and-rational-expressions -> SOLUTION: Use long division to find the quotient​ Q(x) and the remainder​ R(x) when​ P(x) is divided by​ d(x) and express​ P(x) in the form ​d(x) times &#      Log On


   



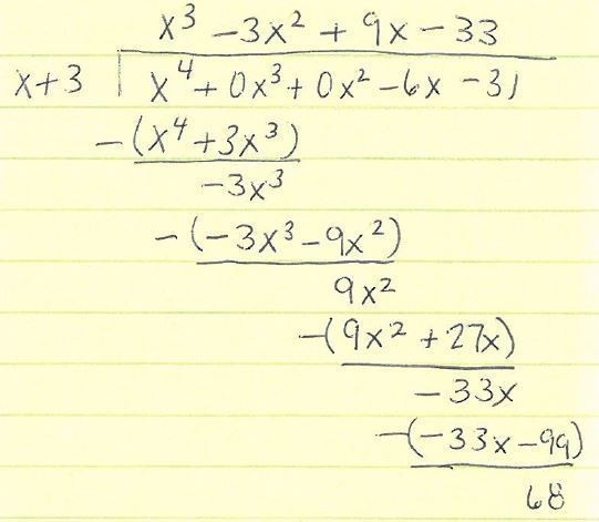
Question 1098993: Use long division to find the quotient​ Q(x) and the remainder​ R(x) when​ P(x) is divided by​ d(x) and express​ P(x) in the form ​d(x) times ​Q(x)plus ​R(x).
   ​P(x)equals x Superscript 4 Baseline minus 6 x squared minus 31
   ​d(x)equals xplus3
P(x)=(x+3) (?)+ ?

Answer by Fombitz(32388) About Me  (Show Source):