SOLUTION: PARTIAL FRACTIONS A) 4 /(X+2) (X-1)^2 B) 5X-1/ (X^2+4) (X+1)

Algebra ->  Polynomials-and-rational-expressions -> SOLUTION: PARTIAL FRACTIONS A) 4 /(X+2) (X-1)^2 B) 5X-1/ (X^2+4) (X+1)      Log On


   



Question 1091053: PARTIAL FRACTIONS
A) 4 /(X+2) (X-1)^2
B) 5X-1/ (X^2+4) (X+1)

Answer by MathLover1(20850) About Me  (Show Source):
You can put this solution on YOUR website!
A.
4+%2F%28%28x%2B2%29+%28x-1%29%5E2%29
create partial fraction template using denominator

multiply equation by denominator

simplify

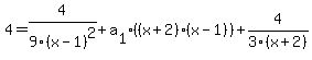
4=+a%5B0%5D+%28x-1%29%5E2+%2Ba%5B1%5D%28%28x%2B2%29+%28x-1%29%29+%2Ba%5B2%5D%28x%2B2%29+
solve the unknown by plugging the real roots of the denominator: 1 ,+-2
for the root 1,+a%5B2%5D=4%2F3
for the root -2, a%5B0%5D=4%2F9

plug in the solutions to the known parameters

4=+4%2F9%28x-1%29%5E2+%2Ba%5B1%5D%28%28x%2B2%29+%28x-1%29%29+%2B4%2F3%28x%2B2%29+
expand
4=4x%5E2%2F9%2Ba%5B1%5Dx%5E2+%2B4x%2F9%2Ba%5B1%5Dx%2B28%2F9-2a%5B1%5D
extract variables from within fractions
4=+%28a%5B1%5Dx%5E2+%2B4x%5E2%2F9%29%2B%28a%5B1%5Dx%2B4x%2F9%29-%282a%5B1%5D-28%2F9%29
4=x%5E2%28a%5B1%5D%2B4%2F9%29%2Bx%28a%5B1%5D%2B4%2F9%29-%282a%5B1%5D-28%2F9%29

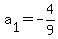
solve -%282a%5B1%5D-28%2F9%29=4 for a%5B1%5D
-%282a%5B1%5D-28%2F9%29=4
2a%5B1%5D-28%2F9=-4
2a%5B1%5D=-4%2B28%2F9
2a%5B1%5D=-36%2F9%2B28%2F9
2a%5B1%5D=-8%2F9
a%5B1%5D=-8%2F%282%2A9%29
a%5B1%5D=-4%2F9

plug in solutions to the partial fraction parameters to obtain final result

simplify
4+%2F%28%28x%2B2%29+%28x-1%29%5E2%29=4%2F9%28x%2B2%29+-4%2F9%28x-1%29%2B4%2F3%28x-1%29%5E2

B.
%285x-1%29%2F+%28%28x%5E2%2B4%29+%28x%2B1%29+%29
create partial fraction template using denominator

multiply equation by denominator

simplify
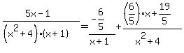
5x-1=a%5B0%5D%28x%5E2%2B4%29+%2B%28a%5B2%5Dx%2Ba%5B1%5D%29+%28x%2B1%29+%29

solve the unknown by plugging the real root of the denominator: -1


-5-1=a%5B0%5D%281%2B4%29+%2B%28-a%5B2%5D%2Ba%5B1%5D%29+0+%29

-6=5a%5B0%5D

+a%5B0%5D+=-6%2F5

plug in the solution to the known parameters
5x-1=%28-6%2F5%29%28x%5E2%2B4%29+%2B%28a%5B2%5Dx%2Ba%5B1%5D%29+%28x%2B1%29+%29

expand
5x-1=+-6x%5E2%2F5-24%2F5+%2Ba%5B2%5Dx%5E2%2Ba%5B2%5Dx%2Ba%5B1%5Dx%2Ba%5B1%5D+

extract variables from within fractions
5x-1=+%28a%5B2%5Dx%5E2-6x%5E2%2F5%29%2B%28a%5B2%5Dx%2Ba%5B1%5Dx%29%2B%28a%5B1%5D+-24%2F5+%29

5x-1=x%5E2+%28a%5B2%5D-6%2F5%29%2Bx%28a%5B2%5D%2Ba%5B1%5D%29%2B%28a%5B1%5D+-24%2F5+%29

use the real root of the denominator(+-1 ) to create system of equations
a%5B2%5D-6%2F5=0
a%5B2%5D%2Ba%5B1%5D=5
a%5B1%5D+-24%2F5+=-1
solve the system
a%5B2%5D-6%2F5=0 ->a%5B2%5D=6%2F5
a%5B1%5D+-24%2F5+=-1->a%5B1%5D+=24%2F5+-1->a%5B1%5D+=24%2F5+-5%2F5->a%5B1%5D+=19%2F5
a%5B2%5D%2Ba%5B1%5D=5->19%2F5%2B6%2F5=5->25%2F5=5->true