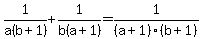
SOLUTION: If {{{1/a(b+1) +1/b(a+1) = 1/(a+1)(b+1) }}} then what is the value of {{{ (1/a)+(1/b)}}}
Algebra
->
Polynomials-and-rational-expressions
-> SOLUTION: If {{{1/a(b+1) +1/b(a+1) = 1/(a+1)(b+1) }}} then what is the value of {{{ (1/a)+(1/b)}}}
Log On
Algebra: Polynomials, rational expressions and equations
Section
Solvers
Solvers
Lessons
Lessons
Answers archive
Answers
Click here to see ALL problems on Polynomials-and-rational-expressions
Question 1082894
:
If
then what is the value of
Answer by
MathTherapy(10552)
(
Show Source
):
You can
put this solution on YOUR website!
If
then what is the value of