SOLUTION: the length of a rectangle is (x+3)/x^2+x+12. the width is (x^2+7x+12)/w^2-9. what is the area in the 'simplest' form? Factored: (x+3)/x^2+x+12*(x+3)(x+4)/(x+3)(x+4) I get s

Algebra ->  Polynomials-and-rational-expressions -> SOLUTION: the length of a rectangle is (x+3)/x^2+x+12. the width is (x^2+7x+12)/w^2-9. what is the area in the 'simplest' form? Factored: (x+3)/x^2+x+12*(x+3)(x+4)/(x+3)(x+4) I get s      Log On


   



Question 1081083: the length of a rectangle is (x+3)/x^2+x+12. the width is (x^2+7x+12)/w^2-9. what is the area in the 'simplest' form?

Factored: (x+3)/x^2+x+12*(x+3)(x+4)/(x+3)(x+4)
I get stuck after this since I can't factor the first denominator.

Answer by josgarithmetic(39623) About Me  (Show Source):
You can put this solution on YOUR website!
Parentheses placed where expected, and x instead of w (which probably was mistake):

length of a rectangle is %28x%2B3%29%2F%28x%5E2%2Bx%2B12%29.

the width is %28x%5E2%2B7x%2B12%29%2F%28x%5E2-9%29.


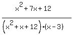
AREA, and then simplified:
%28%28x%2B3%29%2F%28x%5E2%2Bx%2B12%29%29%28%28x%5E2%2B7x%2B12%29%2F%28x%5E2-9%29%29





%28x%5E2%2B7x%2B12%29%2F%28%28x%5E2%2Bx%2B12%29%28x-3%29%29-----you can finish multiplying in the denominator if you want.