SOLUTION: Form two polynomial functions whose real zeroes and degree are given. a. Zeroes: -1, 1, 3; degree 3 b. Zeroes: -1, multiplicity 1; 3, multiplicity 2; degree 3

Algebra ->  Polynomials-and-rational-expressions -> SOLUTION: Form two polynomial functions whose real zeroes and degree are given. a. Zeroes: -1, 1, 3; degree 3 b. Zeroes: -1, multiplicity 1; 3, multiplicity 2; degree 3      Log On


   



Question 1079210: Form two polynomial functions whose real zeroes and degree are given.
a. Zeroes: -1, 1, 3; degree 3
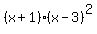
b. Zeroes: -1, multiplicity 1; 3, multiplicity 2; degree 3

Answer by josgarithmetic(39630) About Me  (Show Source):
You can put this solution on YOUR website!
Part (b)


%28x%2B1%29%28x-3%29%5E2, degree is 3.

You can do the multiplication if you want and arrange in decreasing order of x.