SOLUTION: Last problem for the day, and thanks again for you help. This one says to compute and write the answer in scientific notation. 1x10^-8 / 4x10^7

Algebra ->  Polynomials-and-rational-expressions -> SOLUTION: Last problem for the day, and thanks again for you help. This one says to compute and write the answer in scientific notation. 1x10^-8 / 4x10^7      Log On


   



Question 107816This question is from textbook university of Phoenix Elementary and Intermediate Algebra
: Last problem for the day, and thanks again for you help. This one says to compute and write the answer in scientific notation.
1x10^-8 / 4x10^7
This question is from textbook university of Phoenix Elementary and Intermediate Algebra

Found 2 solutions by checkley71, josmiceli:
Answer by checkley71(8403) About Me  (Show Source):
You can put this solution on YOUR website!
1*10^-8/4*10^7
THE TERM 10^-8 IS THE SAME AS 1/10^8 THEREFORE WE HAVE THE FOLLOWING FRACTION:
1/10^8*4*10^7=1/4*10^15 ANSWER.

Answer by josmiceli(19441) About Me  (Show Source):
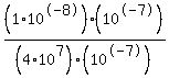
You can put this solution on YOUR website!
1x10%5E-8+%2F+%284%2A10%5E7%29
multiply by 10%5E-7+%2F+10%5E-7 which equals 1
%281%2A10%5E-8%29%2810%5E-7%29+%2F+%284%2A10%5E7%29%2810%5E-7%29
10%5E-15+%2F+%284%2A10%5E0%29 note that 10%5E0+=+1
.25%2A10%5E-15
2.5%2A10%5E-16 answer