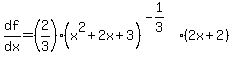
SOLUTION: Find the value of f'(x) at given value of x :- f(x)=(x2+2x+3)2\3, x=-1
Algebra
->
Polynomials-and-rational-expressions
-> SOLUTION: Find the value of f'(x) at given value of x :- f(x)=(x2+2x+3)2\3, x=-1
Log On
Algebra: Polynomials, rational expressions and equations
Section
Solvers
Solvers
Lessons
Lessons
Answers archive
Answers
Click here to see ALL problems on Polynomials-and-rational-expressions
Question 1076280
:
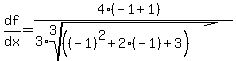
Find the value of f'(x) at given value of x :-
f(x)=(x2+2x+3)2\3, x=-1
Answer by
Fombitz(32388)
(
Show Source
):
You can
put this solution on YOUR website!
So,