SOLUTION: Divide: x^2 – 3x + 2 / 7x – 14 ÷ x^2 – 1 / 7x + 7 Thank You!!! You guys are Great!!

Algebra ->  Polynomials-and-rational-expressions -> SOLUTION: Divide: x^2 – 3x + 2 / 7x – 14 ÷ x^2 – 1 / 7x + 7 Thank You!!! You guys are Great!!      Log On


   



Question 107453: Divide:
x^2 – 3x + 2 / 7x – 14 ÷ x^2 – 1 / 7x + 7

Thank You!!! You guys are Great!!

Found 2 solutions by edjones, jim_thompson5910:
Answer by edjones(8007) About Me  (Show Source):
You can put this solution on YOUR website!
((x^2–3x+2)/(7x–14))/((x^2–1)/(7x+7))
((x^2–3x+2)/(7x–14))*((7x+7)/(x^2-1))
((x-2)(x-1)/7(x–2))*(7(x+1)/(x+1)(x-1))=1
Everything cancels.
Ed


Answer by jim_thompson5910(35256) About Me  (Show Source):
You can put this solution on YOUR website!
%28%28x%5E2-3x%2B2%29%2F%287x-14%29%29%2F%28%28x%5E2-1%29%2F%287x%2B7%29%29 Start with the given expression


%28%28x%5E2-3x%2B2%29%2F%287x-14%29%29%2A%28%287x%2B7%29%2F%28x%5E2-1%29%29 Multiply the first fraction by the reciprocal of the second


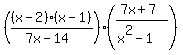
%28%28x-2%29%28x-1%29%2F%287x-14%29%29%2A%28%287x%2B7%29%2F%28x%5E2-1%29%29 Factor x%5E2-3x%2B2 to get %28x-2%29%28x-1%29


%28%28x-2%29%28x-1%29%2F7%28x-2%29%29%2A%28%287x%2B7%29%2F%28x%5E2-1%29%29 Factor 7x-14 to get 7%28x-2%29


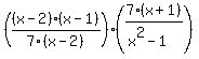
%28%28x-2%29%28x-1%29%2F7%28x-2%29%29%2A%287%28x%2B1%29%2F%28x%5E2-1%29%29 Factor 7x%2B7 to get 7%28x%2B1%29


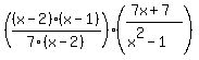
%28%28x-2%29%28x-1%29%2F7%28x-2%29%29%2A%287%28x%2B1%29%2F%28x-1%29%28x%2B1%29%29 Factor x%5E2-1 to get %28x-1%29%28x%2B1%29


Cancel out like terms. Notice every term in the numerator has a corresponding term in the denominator. So everything cancels out


1 So everything simplifies to 1


In other words %28%28x%5E2-3x%2B2%29%2F%287x-14%29%29%2F%28%28x%5E2-1%29%2F%287x%2B7%29%29=1