SOLUTION: Find a fourth degree polynomial function f(x) with real coefficients that has i and 3i as zeros such that f(-1)=20

Algebra ->  Polynomials-and-rational-expressions -> SOLUTION: Find a fourth degree polynomial function f(x) with real coefficients that has i and 3i as zeros such that f(-1)=20      Log On


   



Question 1072882: Find a fourth degree polynomial function f(x) with real coefficients that has i and 3i as zeros such that f(-1)=20
Answer by KMST(5328) About Me  (Show Source):
You can put this solution on YOUR website!
If a polynomial has real coefficients,
and a complex zero,
the conjugate complex number should also be a zero.
In other words, if a%2Bb%2Ai is a zero, so is a-b%2Ai .
In this case, -i and -3i are also zeros.
With those four different zeros, a fourth degree polynomial must have the factored form
f%28x%29=c%28x-i%29%28x-%28-i%29%29%28x-3i%29%28x-%28-3i%29%29 for some real non-zero number c .
Simplifying,
f%28x%29=c%28x-i%29%28x%2Bi%29%28x-3i%29%28x%2B3i%29
f%28x%29=c%28x%5E2-i%5E2%29%28x%5E2-%283i%29%5E2%29
f%28x%29=c%28x%5E2-%28-1%29%29%28x%5E2-3%5E2i%5E2%29
f%28x%29=c%28x%5E2%2B1%29%28x%5E2-9%28-1%29%29
f%28x%29=c%28x%5E2%2B1%29%28x%5E2%2B9%29
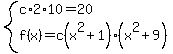
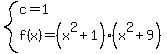
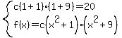
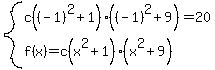
system%28f%28-1%29=20%2Cf%28x%29=c%28x%5E2%2B1%29%28x%5E2%2B9%29%29-->-->system%28c%281%2B1%29%281%2B9%29=20%2Cf%28x%29=c%28x%5E2%2B1%29%28x%5E2%2B9%29%29-->system%28c%2A2%2A10=20%2Cf%28x%29=c%28x%5E2%2B1%29%28x%5E2%2B9%29%29-->system%28c=1%2Cf%28x%29=%28x%5E2%2B1%29%28x%5E2%2B9%29%29 .
So highlight%28f%28x%29=%28x%5E2%2B1%29%28x%5E2%2B9%29%29 or multiplying the factors highlight%28f%28x%29=x%5E4%2B10x%5E2%2B9%29 .