SOLUTION: Divide. x^2-49y^2/6x^2+42y divided by (x^2-7xy)

Algebra ->  Polynomials-and-rational-expressions -> SOLUTION: Divide. x^2-49y^2/6x^2+42y divided by (x^2-7xy)      Log On


   



Question 106579: Divide.
x^2-49y^2/6x^2+42y divided by (x^2-7xy)

Answer by MathLover1(20850) About Me  (Show Source):
You can put this solution on YOUR website!
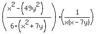
%28x%5E2-%2849y%5E2%29%29%2F%286x%5E2%2B42y%29 divided by %28x%5E2-7xy%29

You can multiply by +1%2F%28x%5E2-7xy%29%29

= %28%28x%5E2-%2849y%5E2%29%29%2F6%28x%5E2%2B7y%29%29%28+1%2Fx%28x-7y%29%29
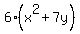
Since %28x%5E2+-+%2849y%5E2%29%29+=+%28x%2B7y%29%28x-7y%29, and 6 as a common factor in %286x%5E2+%2B+42y%29 => we can write it 6%28x%5E2%2B7y%29,
then we will have:
= %28%28x%2B7y%29%28x-7y%29%2F6%28x%5E2%2B7y%29%29%28+1%2F%28x%28x-7y%29%29%29 ..eliminate x7y
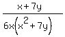
= %28x%2B7y%29%2F%286x%28x%5E2%2B7y%29%29