SOLUTION: factoring all polynomials completely and finding the domain of this problem 16b^2-1/2b^2+11b-6

Algebra ->  Polynomials-and-rational-expressions -> SOLUTION: factoring all polynomials completely and finding the domain of this problem 16b^2-1/2b^2+11b-6      Log On


   



Question 1065508: factoring all polynomials completely and finding the domain of this problem 16b^2-1/2b^2+11b-6
Answer by Fombitz(32388) About Me  (Show Source):
You can put this solution on YOUR website!
Numerator: 16b%5E2-1=%284b-1%29%284b%2B1%29
Denominator cannot be factored to integers.
To determine the domain, find when the denominator is equal to zero and exclude these values from the domain,
b%5E2%2B11b-6=0
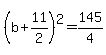
b%5E2%2B11b%2B%2811%2F2%29%5E2=6%2B%2811%2F2%29%5E2
%28b%2B11%2F2%29%5E2=24%2F4%2B121%2F4
%28b%2B11%2F2%29%5E2=145%2F4
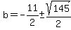
b%2B11%2F2=0+%2B-+sqrt%28145%29%2F2
b=-11%2F2%2B-+sqrt%28145%29%2F2
So the domain is all reals except these two b values,
b=-11%2F2%2Bsqrt%28145%29%2F2
and
b=-11%2F2-sqrt%28145%29%2F2