SOLUTION: solve the simultaneous equatoon x^2+xy-4y^2=2.......Eq1 2x-3y=1.........eq2 find x and y

Algebra ->  Polynomials-and-rational-expressions -> SOLUTION: solve the simultaneous equatoon x^2+xy-4y^2=2.......Eq1 2x-3y=1.........eq2 find x and y      Log On


   



Question 1064605: solve the simultaneous equatoon
x^2+xy-4y^2=2.......Eq1
2x-3y=1.........eq2
find x and y

Found 2 solutions by josgarithmetic, MathTherapy:
Answer by josgarithmetic(39620) About Me  (Show Source):
You can put this solution on YOUR website!
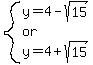
Solve for x from the linear equation, substitute into the degree-two equation, and simplify, and should yield y%5E2-8y%2B1=0. Using general solution for quadratic equation should give you system%28y=4-sqrt%2815%29%2Cor%2Cy=4%2Bsqrt%2815%29%29.

---unfinished---

Answer by MathTherapy(10552) About Me  (Show Source):
You can put this solution on YOUR website!

solve the simultaneous equatoon
x^2+xy-4y^2=2.......Eq1
2x-3y=1.........eq2
find x and y
Correct answer: 
I hope you didn't "run" with the other person's answer, which, as USUAL, is WRONG, WRONG, WRONG. You'll certainly FAIL if you did.