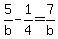
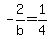
SOLUTION: Solve: 5-b/b + 3/4 = 7/b
Algebra
->
Polynomials-and-rational-expressions
-> SOLUTION: Solve: 5-b/b + 3/4 = 7/b
Log On
Algebra: Polynomials, rational expressions and equations
Section
Solvers
Solvers
Lessons
Lessons
Answers archive
Answers
Click here to see ALL problems on Polynomials-and-rational-expressions
Question 1055354
:
Solve: 5-b/b + 3/4 = 7/b
Answer by
Fombitz(32388)
(
Show Source
):
You can
put this solution on YOUR website!