SOLUTION: x4-5x2+4 ________ How do I Simplify this rational expression x2+x+2
Algebra
->
Polynomials-and-rational-expressions
-> SOLUTION: x4-5x2+4 ________ How do I Simplify this rational expression x2+x+2
Log On
Algebra: Polynomials, rational expressions and equations
Section
Solvers
Solvers
Lessons
Lessons
Answers archive
Answers
Click here to see ALL problems on Polynomials-and-rational-expressions
Question 1051928
:
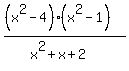
x4-5x2+4
________ How do I Simplify this rational expression
x2+x+2
Answer by
josgarithmetic(39630)
(
Show Source
):
You can
put this solution on YOUR website!
x4-5x2+4
________ How do I Simplify this rational expression
x2+x+2
(x^4-5x^2+4)/(x^2+x+2)
The numerator is still factorizable, but not the denominator. The original rational expression seems to not be simplifiable.
Also, if you try polynomial division for the given rational expression, the result will be
.