SOLUTION: how can I simplify g(a+1)= (5+2(a+1))/(-7+(a+1)) should it be g(a+1)=(5+2a+2)/(-6+a)
Algebra
->
Polynomials-and-rational-expressions
-> SOLUTION: how can I simplify g(a+1)= (5+2(a+1))/(-7+(a+1)) should it be g(a+1)=(5+2a+2)/(-6+a)
Log On
Algebra: Polynomials, rational expressions and equations
Section
Solvers
Solvers
Lessons
Lessons
Answers archive
Answers
Click here to see ALL problems on Polynomials-and-rational-expressions
Question 1047472
:
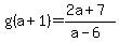
how can I simplify
g(a+1)= (5+2(a+1))/(-7+(a+1))
should it be
g(a+1)=(5+2a+2)/(-6+a)
Answer by
MathLover1(20850)
(
Show Source
):
You can
put this solution on YOUR website!
or