SOLUTION: One number is 11 times larger than another. The difference of their reciprocals is 2. Determine the two numbers

Algebra ->  Polynomials-and-rational-expressions -> SOLUTION: One number is 11 times larger than another. The difference of their reciprocals is 2. Determine the two numbers      Log On


   



Question 1040408: One number is 11 times larger than another. The difference of their reciprocals is 2. Determine the two numbers
Answer by josmiceli(19441) About Me  (Show Source):
You can put this solution on YOUR website!
(1) +n%5B1%5D+=+11n%5B2%5D+
(2) +1%2Fn%5B2%5D+-+1%2Fn%5B1%5D+=+2+
--------------------------
Multiply both sides of (2) by +n%5B1%5D+
(2) +n%5B1%5D+%2F+n%5B2%5D+-+1+=+2n%5B1%5D+
and
(1) +n%5B1%5D+%2F+n%5B2%5D+=+11+
Substitute (1) into (2)
(2) +11+-+1+=+2n%5B1%5D+
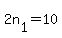
(2) +2n%5B1%5D+=+10+
(2) +n%5B1%5D+=+5+
and
(1) +n%5B1%5D+=+11n%5B2%5D+
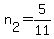
(1) +5+=+11n%5B2%5D+
(1) +n%5B2%5D+=+5%2F11+
---------------------
check answers
(2) +1%2Fn%5B2%5D+-+1%2Fn%5B1%5D+=+2+
(2) +11%2F5+-+1%2F5+=+2+
(2) +11+-+1+=+10+
(2) +10+=+10+
OK