SOLUTION: Divide: x2 – 3x + 2 ÷ x2 – 1 7x – 14 7x + 7

Algebra ->  Polynomials-and-rational-expressions -> SOLUTION: Divide: x2 – 3x + 2 ÷ x2 – 1 7x – 14 7x + 7       Log On


   



Question 102653: Divide:
x2 – 3x + 2 ÷ x2 – 1
7x – 14 7x + 7

Answer by jim_thompson5910(35256) About Me  (Show Source):
You can put this solution on YOUR website!
%28%28x%5E2-3x%2B2%29%2F%287x-14%29%29%2F%28%28x%5E2-1%29%2F%287x%2B7%29%29 Start with the given expression

%28%28x%5E2-3x%2B2%29%2F%287x-14%29%29%2A%28%287x%2B7%29%2F%28x%5E2-1%29%29 Multiply the first fraction by the reciprocal of the second fraction


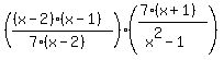
%28%28%28x-2%29%28x-1%29%29%2F%287x-14%29%29%2A%28%287x%2B7%29%2F%28x%5E2-1%29%29 Factor x%5E2-3x%2B2 to get %28x-2%29%28x-1%29 (note: if you need help with factoring, check out this solver)

%28%28%28x-2%29%28x-1%29%29%2F%287%28x-2%29%29%29%2A%28%287x%2B7%29%2F%28x%5E2-1%29%29 Factor 7x-14 to get 7%28x-2%29

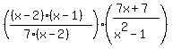
%28%28%28x-2%29%28x-1%29%29%2F%287%28x-2%29%29%29%2A%28%287%28x%2B1%29%29%2F%28x%5E2-1%29%29 Factor 7x%2B7 to get 7%28x%2B1%29

Factor x%5E2-1 to get %28x-1%29%28x%2B1%29


Cancel all like terms


1 Simplify


So %28%28x%5E2-3x%2B2%29%2F%287x-14%29%29%2F%28%28x%5E2-1%29%2F%287x%2B7%29%29 simplifies to 1