SOLUTION: Between 1995 and 2010, the population of Smalltown, USA (in thousands) can modeled by f(x)=-2x^2+30+17, where x=0 represents 1993. Based on this model, what was the maximum popula

Algebra ->  Polynomials-and-rational-expressions -> SOLUTION: Between 1995 and 2010, the population of Smalltown, USA (in thousands) can modeled by f(x)=-2x^2+30+17, where x=0 represents 1993. Based on this model, what was the maximum popula      Log On


   



Question 1025991: Between 1995 and 2010, the population of Smalltown, USA (in thousands) can modeled by f(x)=-2x^2+30+17, where x=0 represents 1993. Based on this model, what was the maximum population? In what year did the population of Smalltown USA reach its maximum?
Answer by josmiceli(19441) About Me  (Show Source):
You can put this solution on YOUR website!
+f%28x%29+=+-2x%5E2+%2B+30x+%2B+17+
( Is this correct? )
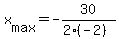
The formula for maximum is:
+x%5Bmax%5D+=+-b%2F%282a%29+
+x%5Bmax%5D+=+-30%2F%28+2%2A%28-2%29+%29+
+x%5Bmax%5D+=+15%2F2+
Plug this result back into formula
+f%28+15%2F2+%29+=+-2%2A%28+15%2F2+%29%5E2+%2B+30%2A%28+15%2F2+%29+%2B+17+
+f%28+15%2F2+%29+=+-225%2F2+%2B+225+%2B+17+
+f%28+15%2F2+%29+=+225%2F2+%2B+17+
+f%28+15%2F2+%29+=+112.5+%2B+17+
+f%28+15%2F2+%29+=+129.5+
----------------------
(a)
The maximum population was 129,500
(b)
1993 + 15/2 = 1993 + 7.5
1993 + 7.5 = 2000
The maximum was reached in 2000
---------------
Here's the plot:
+graph%28+400%2C+400%2C+-2%2C+20%2C+-15%2C+150%2C+-2x%5E2+%2B+30x+%2B+17+%29+