SOLUTION: This is a nesting fraction. I tried the question on two different sites when my main site, which has taught me a lot, didn't make sense. The question is or problem is 2+2/x (num

Algebra ->  Polynomials-and-rational-expressions -> SOLUTION: This is a nesting fraction. I tried the question on two different sites when my main site, which has taught me a lot, didn't make sense. The question is or problem is 2+2/x (num      Log On


   



Question 1024834: This is a nesting fraction. I tried the question on two different sites
when my main site, which has taught me a lot, didn't make sense. The question is or problem is 2+2/x (numerator) 4-4/x (denominator) What is the correct answer please. (Its suppose to be reduced as much as possible for the answer.)

Found 2 solutions by ikleyn, MathTherapy:
Answer by ikleyn(52851) About Me  (Show Source):
You can put this solution on YOUR website!
.
This is a nesting fraction. I tried the question on two different sites
when my main site, which has taught me a lot,
didn't make sense. The question is or problem is 2+2/x (numerator) 4-4/x (denominator) What is the correct answer please.
(Its suppose to be reduced as much as possible for the answer.)
~~~~~~~~~~~~~~~~~~~~~~~~~~~~~~~~~~~~~~~~

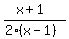
%282+%2B+2%2Fx%29%2F%284-4%2Fx%29 = %28%28%282x%2B2%29%2Fx%29%29%2F%28%28%284x-4%29%2Fx%29%29 = %282x%2B2%29%2F%284x-4%29 = %28x%2B1%29%2F%282%2A%28x-1%29%29.


1.  First I wrote the expression 2+%2B+2%2Fx in the numerator with common denominator:  2+%2B+2%2Fx = %282x+%2B+2%29%2Fx.


2.  Second, I did the same for the expression in the denominator:  4+-+4%2Fx = %284x+-+4%29%2Fx.

3.  Then I have  %282+%2B+2%2Fx%29%2F%284-4%2Fx%29 = %282x%2B2%29%2Fx : %284x-4%29%2Fx%29. 

    This quotient is the same as the product  %282x%2B2%29%2Fx * x%2F%284x-4%29   ( the rule of dividing ratios ).

    So, the quotient is  %282x%2B2%29%2F%284x-4%29.


4.  As a last step, I cancel the common factor 2 in the numerator and the denominator in this ratio.


5.  Then I got this:  %28x%2B1%29%2F%282%2A%28x-1%29%29.


Answer by MathTherapy(10555) About Me  (Show Source):
You can put this solution on YOUR website!

This is a nesting fraction. I tried the question on two different sites
when my main site, which has taught me a lot, didn't make sense. The question is or problem is 2+2/x (numerator) 4-4/x (denominator) What is the correct answer please. (Its suppose to be reduced as much as possible for the answer.)
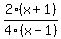
Correct answer: 2%28x+%2B+1%29%2F4%28x+-+1%29 = cross%282%29%28x+%2B+1%29%2F2cross%284%29%28x+-+1%29 =