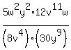
SOLUTION: How do you solve {{{5w^2y^2/(8v^4)*12v^11w/(30y^9)}}}
Algebra
->
Polynomials-and-rational-expressions
-> SOLUTION: How do you solve {{{5w^2y^2/(8v^4)*12v^11w/(30y^9)}}}
Log On
Algebra: Polynomials, rational expressions and equations
Section
Solvers
Solvers
Lessons
Lessons
Answers archive
Answers
Click here to see ALL problems on Polynomials-and-rational-expressions
Question 101872
:
How do you solve
Answer by
edjones(8007)
(
Show Source
):
You can
put this solution on YOUR website!
Ed