SOLUTION: Factor each polynomial completely: x^3 - 4y^2x + 2x^2 - 8y^2
Algebra
->
Polynomials-and-rational-expressions
-> SOLUTION: Factor each polynomial completely: x^3 - 4y^2x + 2x^2 - 8y^2
Log On
Algebra: Polynomials, rational expressions and equations
Section
Solvers
Solvers
Lessons
Lessons
Answers archive
Answers
Click here to see ALL problems on Polynomials-and-rational-expressions
Question 1017716
:
Factor each polynomial completely:
x^3 - 4y^2x + 2x^2 - 8y^2
Answer by
ikleyn(52832)
(
Show Source
):
You can
put this solution on YOUR website!
.
Factor each polynomial completely:
x^3 - 4y^2x + 2x^2 - 8y^2
-------------------------------
Apply grouping.
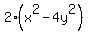
=
+
=
+
=
= (x+2)*(x-2y)*(x+2y).