SOLUTION: {{{(x^2-y^2)/(x^4-x^3)}}}÷{{{(x-y)/x^2}}}÷{{{(x^2+2xy+y^2)/(x+y)}}}

Algebra ->  Polynomials-and-rational-expressions -> SOLUTION: {{{(x^2-y^2)/(x^4-x^3)}}}÷{{{(x-y)/x^2}}}÷{{{(x^2+2xy+y^2)/(x+y)}}}       Log On


   



Question 101221: %28x%5E2-y%5E2%29%2F%28x%5E4-x%5E3%29÷%28x-y%29%2Fx%5E2÷%28x%5E2%2B2xy%2By%5E2%29%2F%28x%2By%29


Answer by Edwin McCravy(20060) About Me  (Show Source):
You can put this solution on YOUR website!
%28x%5E2-y%5E2%29%2F%28x%5E4-x%5E3%29÷%28x-y%29%2Fx%5E2÷%28x%5E2%2B2xy%2By%5E2%29%2F%28x%2By%29
**the /= the fraction bar not division

We take care of the ÷ 's first in order left to right. So we put
parentheses arould the first two fractions so that we do that
division first.

(%28x%5E2-y%5E2%29%2F%28x%5E4-x%5E3%29 ÷ %28x-y%29%2Fx%5E2) ÷ %28x%5E2%2B2xy%2By%5E2%29%2F%28x%2By%29

Within the parentheses we invert the second fraction and change
the division symbol to a multiplication symbol

(%28x%5E2-y%5E2%29%2F%28x%5E4-x%5E3%29 · x%5E2%2F%28x-y%29) ÷ %28x%5E2%2B2xy%2By%5E2%29%2F%28x%2By%29

Now we invert the third fraction and change the division symbol
to a multiplication:

(%28x%5E2-y%5E2%29%2F%28x%5E4-x%5E3%29 · x%5E2%2F%28x-y%29) · %28x%2By%29%2F%28x%5E2%2B2xy%2By%5E2%29

Now we don't need the parentheses around the first two any more:

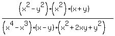
%28x%5E2-y%5E2%29%2F%28x%5E4-x%5E3%29 · x%5E2%2F%28x-y%29 · %28x%2By%29%2F%28x%5E2%2B2xy%2By%5E2%29

Now we indicate the product of all the numerators over the
product of all the denominators:



Now we factor the %28x%5E2-y%5E2%29 as %28x-y%29%28x%2By%29,
the x%5E4-x%5E3 as x%5E3%28x-1%29, and
the %28x%5E2%2B2xy%2By%5E2%29 as %28x%2By%29%28x%2By%29



We cancel the %28x-y%29in the top with the %28x-y%29 in the bottom.
There are two %28x%2By%29 factors in the top that cancel
with the two %28x%2By%29 factors in the bottom.
The %28x%5E2%29 in the top cancels into the x%5E3 in the bottom,
leaving only an x%5E1 or just x in the bottom. So we have only 
this left after canceling:

+1+%2F+%28+x%28x-1%29+%29

Edwin