SOLUTION: (39) Square SQUR has sides of length x. If triangle SQE is equilateral, find the area of triangle QAU. Link to diagram: https://ibb.co/C58rZ09R

Algebra ->  Polygons -> SOLUTION: (39) Square SQUR has sides of length x. If triangle SQE is equilateral, find the area of triangle QAU. Link to diagram: https://ibb.co/C58rZ09R      Log On


   



Question 1209520: (39) Square SQUR has sides of length x. If triangle SQE is equilateral, find the area of triangle QAU.
Link to diagram: https://ibb.co/C58rZ09R

Found 4 solutions by CPhill, ikleyn, greenestamps, Edwin McCravy:
Answer by CPhill(2264) About Me  (Show Source):
You can put this solution on YOUR website!
Here's how to find the area of triangle QAU:
**1. Visualize the problem:**
It's helpful to draw a diagram. You have a square SQUR with side length *x*. Triangle SQE is equilateral, meaning all its sides are also of length *x*. Point A is likely somewhere related to the geometry of the square and triangle. We need more information about the location of point A to solve the problem. Let's assume A is the intersection of lines RE and QU.
**2. Find the coordinates of the points (assuming a coordinate system):**
Let's place the square in a coordinate system. Put S at the origin (0,0), Q at (x,0), U at (x,x), and R at (0,x).
Since SQE is equilateral, point E will be at (x/2, (x√3)/2).
**3. Find the equations of lines RE and QU:**
* **Line RE:** We have points R(0,x) and E(x/2, (x√3)/2). The slope of RE is:
m_RE = [(x√3)/2 - x] / [x/2 - 0] = (√3 - 2)x / x = √3 - 2
The equation of line RE (using point-slope form) is:
y - x = (√3 - 2)(x - 0)
y = (√3 - 2)x + x
y = (√3 - 1)x
* **Line QU:** We have points Q(x,0) and U(x,x). The slope of QU is undefined since it is a vertical line. The equation of the line is x=x.
**4. Find the coordinates of point A (the intersection of RE and QU):**
Since QU is the vertical line x = x, the x-coordinate of point A is *x*. Substitute *x* for x in the equation of line RE to find the y-coordinate:
y = (√3 - 1)x
So, point A is at (x, (√3 - 1)x).
**5. Find the area of triangle QAU:**
The base of triangle QAU is QU, which has length *x*. The height of the triangle is the perpendicular distance from A to the line QU. Since QU is a vertical line, the height is the horizontal distance from x to x, which is 0. The height of the triangle is the difference in the y-coordinates of A and Q. Thus the height is (√3 - 1)x - 0 = (√3 - 1)x.
Area of triangle QAU = (1/2) * base * height
Area = (1/2) * x * (√3 - 1)x
Area = (x²(√3 - 1))/2
Therefore, the area of triangle QAU is (x²(√3 - 1))/2.

Answer by ikleyn(53855) About Me  (Show Source):
You can put this solution on YOUR website!
.
Square SQUR has sides of length x. If triangle SQE is equilateral, find the area of triangle QAU.
Link to diagram: https://ibb.co/C58rZ09R
~~~~~~~~~~~~~~~~~~~~~~~~~~


        The solution in the post by @CPhill is  INCORRECT.

        I came to bring a correct solution.


I will use coordinate plane (x,y).  To avoid missing coordinate x with the side length of the square, 
I will use 'a' for the square side length.


Let's place the origin of the coordinate system (x,y) at point S.


The line EQ has an equation

    y = sqrt%283%29%2Ax+%2B+b    (1)

since its slope is, obviously,  sqrt%283%29.  To find 'b' in this equation, substitute coordinates of 
the vertex Q = {a,0) of the square into this equation


    0 = sqrt%283%29%2Aa+%2B+b.


It gives  b = -sqrt%283%29%2Aa.  So, equation of the line EQ is 


    y = sqrt%283%29%2Ax+-+sqrt%283%29%2Aa%29 = sqrt%283%29%2A%28x-a%29%29.    (2)


We want to find the point A as the intersection of the line SU and the line EQ.

The line SU has the equation  y = -x;  so, we substitute y = -x into equation (2).  It gives


    -x = sqrt%283%29%2A%28x-a%29 ,  

or  

    -x = sqrt%283%29%2Ax+-+sqrt%283%29%2Aa,

    sqrt%283%29%2Aa = sqrt%283%29x+%2B+x,

    x = %28sqrt%283%29%2Aa%29%2F%28sqrt%283%29%2B1%29.


Thus we know now the x-coordinate of the point A.



So, now we can find the height h of the triangle QAU as the difference a-x:


    h = a-x = a - %28sqrt%283%29%2Aa%29%2F%28sqrt%283%29%2B1%29 = %28sqrt%283%29%2Aa+%2B+a+-+sqrt%283%29%2Aa%29%2F%28sqrt%283%29%2B1%29 = a%2F%28sqrt%283%29%2B1%29.



You can rationalize the denominator

    h = %28a%2F%28sqrt%283%29%2B1%29%29%2A%28%28sqrt%283%29-1%29%2F%28sqrt%283%29-1%29%29 = a%2A%28sqrt%283%29-1%29%2F%283-1%29 = a%2A%28%28sqrt%283%29-1%29%2F2%29.



Now the area of the triangle QAU is half the product of its base 'a' by its height h = a%2A%28%28sqrt%283%29-1%29%2F2%29


The  ANSWER  is :  the area of the triangle QAU is


    %281%2F2%29%2Aa%2Ah = %281%2F2%29%2Aa%2A%28a%2A%28sqrt%283%29-1%29%2F2%29%29 = a%5E2%2A%28%28sqrt%283%29-1%29%2F4%29.

Solved.


\\\\\\\\\\\\\\\\\\\\\\\\\\\\\\\\\\\\\


                Regarding the post by @CPhill . . .


Keep in mind that @CPhill is a pseudonym for the Google artificial intelligence.

The artificial intelligence is like a baby now. It is in the experimental stage
of development and can make mistakes and produce nonsense without any embarrassment.


                It has no feeling of shame - it is shameless.


This time, again,  it made an error.


Although the @CPhill' solution are copy-paste  Google  AI solutions,  there is one essential difference.

Every time,  Google  AI  makes a note at the end of its solutions that  Google  AI  is experimental
and can make errors/mistakes.

All @CPhill' solutions are copy-paste of  Google  AI  solutions, with one difference:
@PChill never makes this notice and never says that his solutions are copy-past that of Google.
So,  he  NEVER  SAYS  TRUTH.

Every time,  @CPhill embarrassed to tell the truth.
But I am not embarrassing to tell the truth,  as it is my duty at this forum.


And the last my comment.

When you obtain such posts from @CPhill,  remember,  that  NOBODY  is responsible for their correctness,
until the specialists and experts will check and confirm their correctness.

Without it,  their reliability is  ZERO and their creadability is  ZERO,  too.



Answer by greenestamps(13353) About Me  (Show Source):
You can put this solution on YOUR website!


Tutor @ikleyn has provided a response showing a valid solution using equations of the lines in the figure.

Here is a very different solution.

Draw segment AP parallel to SQ with P on QU. Let a be the length of AP.

Angle PUA is 45 degrees, so triangle APU is a 45-45-90 right triangle. The length of PU is then a.

Angle SQA is 60 degrees, so angle AQP is 30 degrees; that make triangle APQ a 30-60-90 right triangle. So then the length of QP is a*sqrt(3).

Use the lengths of PU and QP to find an expression for a in terms of the side length of the square.

a%2Ba%2Asqrt%283%29=x
a%281%2Bsqrt%283%29%29=x
a=x%2F%281%2Bsqrt%283%29%29
a=%28x%28sqrt%283%29-1%29%29%2F%28%28sqrt%283%29%2B1%29%28sqrt%283%29-1%29%29
a=%28x%2F2%29%28sqrt%283%29-1%29

Use the standard formula one-half base times height to find the area of triangle QAU. The base is x and the height is a.

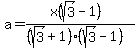
A=%281%2F2%29%28x%29%28%28x%2F2%29%28sqrt%283%29-1%29%29=%28x%5E2%2F4%29%28sqrt%283%29-1%29

ANSWER: %28x%5E2%2F4%29%28sqrt%283%29-1%29


Answer by Edwin McCravy(20085) About Me  (Show Source):
You can put this solution on YOUR website!



I think it's pretty obvious how I got the angles I have marked the
degree measures of above.

We can use the ASA area formula, 



although we can't get the exact answer that way, since the third angle is
180%5Eo-30%5Eo-45%5Eo=105%5Eo, which is not a special angle.
[Of course, we could break up 105o as 45o+60o.] 

Area+=%28x%5E2%2Asin%2830%5Eo%29sin%2845%5Eo%29%29%2F%282%2Asin%28105%5Eo%29%29%22%22=%22%220.1830127019x%5E2

That's the approximate answer of the exact solutions Ikleyn and greenestamps
got.

Edwin