SOLUTION: An isosceles trapezium ABCD has perpendicular diagonals and side lengths AB = 1 and CD = 7. (a) Find the length of the two equal sides. (b) Find the product of the lengths of th

Algebra ->  Polygons -> SOLUTION: An isosceles trapezium ABCD has perpendicular diagonals and side lengths AB = 1 and CD = 7. (a) Find the length of the two equal sides. (b) Find the product of the lengths of th      Log On


   



Question 1165102: An isosceles trapezium ABCD has perpendicular diagonals and side lengths
AB = 1 and CD = 7.
(a) Find the length of the two equal sides.
(b) Find the product of the lengths of the diagonals.

Found 2 solutions by solver91311, Edwin McCravy:
Answer by solver91311(24713) About Me  (Show Source):
You can put this solution on YOUR website!

.

In order for the trapezium to be isosceles, the segment AB must be centered over segment CD. So placing the figure on a coordinate axis with D at the origin and C at (7,0), means that the -coordinates of A and B must be 3 and 4 respectively. Now we need to determine the -coordinate of A and B.

Since the diagonals are perpendicular, the slopes of the lines containing segments AC and DB must be negative reciprocal. Use the slope formula to get expressions for these two slopes in terms of , then set the negative reciprocal of one equal to the other one and solve for .

Using the coordinates of A and D gives you the measure of the sides of a right triangle with AD as the hypotenuse. Use Pythagoras to calculate the measure of AD. Check your work by doing the same calculation for the other side.
Part b is calculated similarly.

John

My calculator said it, I believe it, that settles it


Answer by Edwin McCravy(20066) About Me  (Show Source):
You can put this solution on YOUR website!
An isosceles trapezium ABCD has perpendicular diagonals and side lengths
AB = 1 and CD = 7.
(a) Find the length of the two equal sides.

Triangles ABE and CDE are similar right triangles, so
a%2F7=b%2F1
a=7b

The diagonals are perpendicular so we can use the Pythagorean theorem
on the right triangles.

b%5E2%2Bb%5E2=1%5E2
2b%5E2=1
b%5E2=1%2F2
b=sqrt%281%2F2%29
b=1%2Fsqrt%282%29
b=sqrt%282%29%2F2

a=7b=7sqrt%282%29%2F2

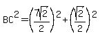
BC%5E2=a%5E2%2Bb%5E2
BC%5E2=%287sqrt%282%29%2F2%29%5E2%2B%28sqrt%282%29%2F2%29%5E2
BC%5E2=%2849%2A2%29%2F4%2B2%2F4
BC%5E2=98%2F4%2B2%2F4
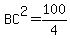
BC%5E2=100%2F4
BC%5E2=25
BC=5

So the two equal sides are 5 each.

(b) Find the product of the lengths of the diagonals.
The two diagonals are equal, and they are a+b each

a%2Bb=sqrt%282%29%2F2%2B7sqrt%282%29%2F2=8sqrt%282%29%2F2=4sqrt%282%29

Multiply them together, which means to square that:

%284sqrt%282%29%29%5E2=16%2A2=32

That's the product of the diagonals.

Edwin